Multiple Integrals means during integration of one variable can be extended to the functions of more than one variable. The generalizations of define integrals is known as Multiple integral. Multiple integral covers several of topics such as:
- Double Integrals
- Iterated Integrals
- Double Integrals in polar coordinates
- Triple Integrals
- Triple integrals in cylindrical coordinates
Our well qualified tutors available 24/7 to solve any kind of problems related with this topic.
Best Quality Double Integral Problems and Detailed Solutions
Notation of Double Integral

This shows the double integral, over the reason of z of f(x,y).
Working Method of double integral

First Integral (A), Integrate with respect to y and x is assumed as a constant and evaluate the result between the limit y = f1(x) and y f2(x). After this we integrate the result of (A) with respect to x between the limit x=a and x=b.
Examples of Double Integrals
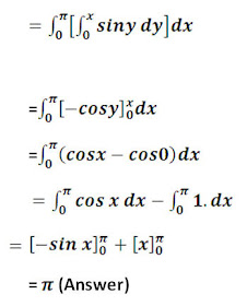
(1)

Step - 1
First we Integrate with respect to y and x is assumed as a constant between the limit y=0 and y=x.

Example-2
y = 3x
y = 5-2x
y = 0

Solving these three equations
y = 3x
y = 5 – 2x
y = 0
we get lines cut at (0,0) , (5/2, 0) and (1, 3)
thus limit of x will vary from x = 0 to 5/2.
And limit of y will vary from y = 3x to y = 5 – 2x

Area A = 25/8 Ans.
In above examples we have provided the procedure of double integral problems with examples and if you are still confuse to solve double integral problems then do let us know. We have very good team of tutors with 5 years of experience. We have done thousands of assignments related to double integral problems. I would be very happy to provide you assignment help. Please do send us your queries or assignment. We will provide you details solution with accuracy and our cost would be very reasonable.
Our contact details are following:
Email Id:info@assignmenthelpexperts.com
Toll Free Number: 001-877-839-9989
Website: http://www.assignmenthelpexperts.com/